找回密码
 立即注册
查看: 210|回复: 0

附判决┃OPPO反击华硕5G SEP侵权案解析

[复制链接]

40

主题

6

回帖

164

积分

注册会员

积分
164
发表于 2026-3-23 00:59:34 | 显示全部楼层 |阅读模式
作者:橙子 知产财经
- w3 O9 K5 R1 {# Z$ e4 r知产财经获悉,2026年3月5日,德国慕尼黑第一地区法院就OPPO诉华硕(ASUS)5G标准必要专利(SEP)侵权纠纷案作出判决,认定华硕旗下多款5G手机及笔记本电脑产品落入OPPO涉案专利保护范围从而构成专利侵权。该判决是OPPO在与华硕全球专利纠纷中的首份侵权胜诉判决,亦标志着其在知识产权布局与诉讼反击策略上的重要进展。
) I: h( M; D1 N2 C: c) @+ A8 R核心判决:OPPO 5G专利价值再获认证 华硕侵权成立存多重风险6 ^6 Q1 K# j4 t9 S1 d' {: q8 z
本案涉诉专利为OPPO的欧洲专利EP3657687(“用于确定信道跳频的方法及装置以及计算机存储介质”),该专利聚焦5G通信系统中的信道跳频确定机制,是5G通信中保障信号传输稳定性的关键技术环节,属于5G标准实施的核心必要专利。慕尼黑第一地区法院第七民事庭经审理认定,华硕在其5G终端产品中实施了该专利的技术方案,构成专利侵权。+ N! d5 y6 S' J# P) T* v6 ]( [7 X
从判决的法律后果来看,法院赋予OPPO就华硕2022年6月1日起的侵权行为主张损害赔偿的权利,同时要求华硕披露侵权产品的销售数量、营收数据等账目信息,为后续赔偿金额的精确计算提供依据。; E9 m2 |+ B" c. i9 r
值得关注的是,本案中OPPO并未向法院提出销售禁令的救济请求,法院也因此未作出禁售裁定,但这并不意味着华硕相关产品在德国市场的风险消除。按照德国专利诉讼的法律体系,权利人在获得侵权胜诉判决后,仍可在后续程序中基于该判决申请销售禁令、产品召回或销毁等救济措施,这也意味着华硕的5G终端产品在德仍面临潜在的禁售风险。# k7 E$ M5 m7 W$ F* M
此次胜诉并非OPPO 5G专利的首次战绩,而是其专利组合价值的持续表现。从行业专利评级来看,Patently 100《2026年度全球5G标准必要专利权利人百强榜》显示,OPPO以3760个已确权5G SEP专利族位列第八。该榜单摒弃了单纯的专利声明数量统计,而以“已授权且有效”的专利家族为核心指标,更贴合司法裁判的可执行性要求,能够直接印证OPPO 5G专利的法律稳定性。同时,在美国律商联讯(Lexis Nexis)的《2026年谁在引领5G专利竞争》报告中,OPPO也在专利权人榜单中位列第十。该榜单结合专利数量、专利资产质量与3GPP标准贡献度,综合反映了专利权人在标准制定与产业应用中的双重价值。从司法与产业实践来看,早在2024年与诺基亚的全球5G SEP纠纷中,OPPO的核心专利EP3445093就已被德国联邦专利法院认定全部有效。产业许可层面,OPPO在2025年相继与大众汽车、奥迪等跨行业企业达成包含5G在内的蜂窝通信标准必要专利全球许可协议,进一步形成了对OPPO 5G专利组合的技术核心性、法律有效性的认可,证明了OPPO的5G专利布局并非“数量堆砌”,而是一整套具备高司法可执行性的核心资产。! |+ h! s6 P- S) e0 Y# Q/ O5 @
华硕在本次判决前,已在近三个月内两度于德国慕尼黑地区法院遭遇不利:2026年1月,该院认定华硕及其子公司Askey分别侵犯了诺基亚持有的视频编码技术专利、韩国Wilus公司Wi-Fi 6标准必要专利,并颁布全德范围禁令。本次与OPPO的纠纷判决,使其在德国专利司法体系中面临连续的不利局面。! h9 L, X' z/ f' w6 K! E- \- W( d$ [' m
针对本次判决,华硕方暂未明确表示是否上诉,但其已在德国联邦专利法院对涉诉的OPPO专利提起无效宣告诉讼。结合德国专利司法的流程特点,行业研判该专利无效案件的裁决结果最早或至2027 年下半年才能出炉,这也意味着双方的法律博弈将进入长期化阶段。
( d& \. K& l) s  e( Z纠纷溯源:华硕尝试主动出击 OPPO全球立体反制破局2 I8 I" d3 K, l+ n
OPPO与华硕的本轮专利纠纷,源于华硕率先发起的诉讼行动。2022年,华硕成立了华硕技术许可公司(ASUS TeK Technology Licensing,ATL),将专利许可业务作为重要布局方向,依托其持有的3G、4G、5G SEP组合,在全球多个司法管辖区发起专利诉讼,涉案对象包括联想,美国三大网络运营商AT&T、Verizon和T-Mobile USA,以及爱立信等企业。$ `# z% z* E8 n6 S) k% ^9 t6 o
2025年4月初,华硕及其关联公司Innovative Sonic Corporation(ISC)将矛头指向 OPPO、小米等中国终端企业,先后在德国慕尼黑第一地方法院、UPC提起专利侵权诉讼,试图利用德国法院“快速签发禁令”的司法特点推动OPPO、小米进入谈判。; i$ n  W( f2 E9 C: X& y6 O
面对华硕的诉讼行动,OPPO采取了多维度的反制措施,形成海内外联动的应诉与维权布局。在海外,OPPO在德国慕尼黑第一地区法院对华硕提起反诉;在国内,OPPO在上海知识产权法院向华硕提起全球首例VVC标准必要专利诉讼(涉案专利号:CN202110412164.5),涉案专利在华硕提起的无效挑战中被认定在修改后的权利要求基础上维持有效。此外,OPPO还在中国国家知识产权局对华硕和Innovative Sonic的多项专利发起了无效挑战。0 @; j2 B) U( N* t4 _
另一被诉方小米也迅速在英格兰及威尔士高等法院针对华硕发起反击,要求法院对涉案标准必要专利的FRAND(公平、合理、无歧视)许可条件进行司法认定。同时,小米向美国法院申请证据开示,以获取华硕的专利授权惯例等相关资料,用于支持其FRAND许可费率抗辩,获法官批准。2025年11月,小米与华硕及相关公司达成和解,结束了双方在德国、英国、美国和UPC的全球专利纠纷,协议条款尚未披露。
9 H5 i$ j3 I) U  S2 B3 q, b7 `案件启示:中企SEP维权的策略升级与行业生态思考& F6 J! i8 u* t5 x
OPPO诉华硕5G SEP侵权案的一审判决,不仅是两家企业的法律博弈结果,更折射出中国科技企业在全球知识产权竞争中的策略升级。过往,中国科技企业在海外遭遇SEP诉讼时,多以被动抗辩为主。而在本次与华硕的纠纷中,OPPO、小米面对海外发起的诉讼攻势,并未止步于单纯应诉,而是通过在海内外提起反诉、发起专利无效、主张FRAND 原则司法认定等方式,主动构建诉讼格局,力求在知识产权博弈中实现地位对等。这一转变的背后,是中国企业多年来在技术创新上的积累,以及在专利布局、司法维权专业能力上的成熟,更是中国企业从“技术跟随”向“技术创新”转型后,在知识产权领域的必然体现。* V4 `% ~- n9 M( P: F: x" r
本次纠纷也体现出企业的专利诉讼策略正朝着与司法规则深度融合的理性化方向发展。与Wilus、诺基亚案不同的是,OPPO在本次诉讼中未主张即时销售禁令。这一诉讼策略并不等同于放弃相关权利,而是OPPO结合德国司法规则、案件审理需求及自身知识产权战略而做出的综合考量。德国专利诉讼中,申请禁令需应对被告的FRAND抗辩,未主张禁令则可规避复杂的抗辩审查,实现侵权事实的快速司法确认。同时,这一做法能避免SEP纠纷中权利人同时主张禁令与高额赔偿易引发的FRAND原则抗辩争议,让后续赔偿主张或许可谈判更具司法依据。这一策略选择,体现了企业对各国司法规则的精准把握,也反映出知识产权诉讼已从“单一的权利主张”转向“结合司法规则的综合策略运用”。而该策略,也与OPPO一贯采用的防御型知识产权策略相契合。
5 [, c2 x8 H( a7 K* ?, T  d# U4 u从推动构建长期健康的知识产权生态,到实施防御型知识产权战略,再到在必要反制中维护自身权益,OPPO的实践路径显示出其对技术创新、专利布局与司法维权三者关系的系统性考量。此番OPPO在德国获得的5G专利侵权诉讼的有利判决,既是对其专利组合价值的一次验证,也向行业传递出信号:在知识产权竞争中,技术创新能力的积累、严谨的知识产权布局以及理性的维权机制,都是企业参与全球市场竞争的重要基础。
2 h7 V, v" B$ [9 Y, M$ ?未来,随着5G、6G、AI、视频编码等标准化技术的快速发展,全球SEP领域的竞争将更加激烈。在此背景下,构建健康的知识产权生态,需要企业在不放弃维权的同时,尊重FRAND规则、坚持利益平衡,以实现创新保护与行业发展的双赢。正因如此,防御型知识产权战略或将成为更多科技企业的共同选择。( E+ J, k9 X8 M4 Q/ }: z, ~
随着德国法院的此次落槌,OPPO与华硕的全球专利纠纷进入了新阶段,后续双方的上诉、专利无效诉讼及损害赔偿相关主张的推进,也将成为行业关注的焦点。知产财经将持续关注。) v) N5 U3 R0 S! A: L7 V; Z9 K# t
附判决:
4 j0 F. X* }2 o$ M% Q5 Y Lz2XGLTjT5btH0kM.jpg
: e0 g% r- Z% n2 z' M1 F* C8 w; Z fLmL8lKokWfw9lK2.jpg 8 U8 C4 _% ?# i
o2X91vKv8d8869NJ.jpg ( x) v; S; M! }9 X
N81g3glB78L8UGmu.jpg
0 }2 S' z* j5 [$ e: Q! z* |$ H rtYN9TmMvV3DzbV1.jpg
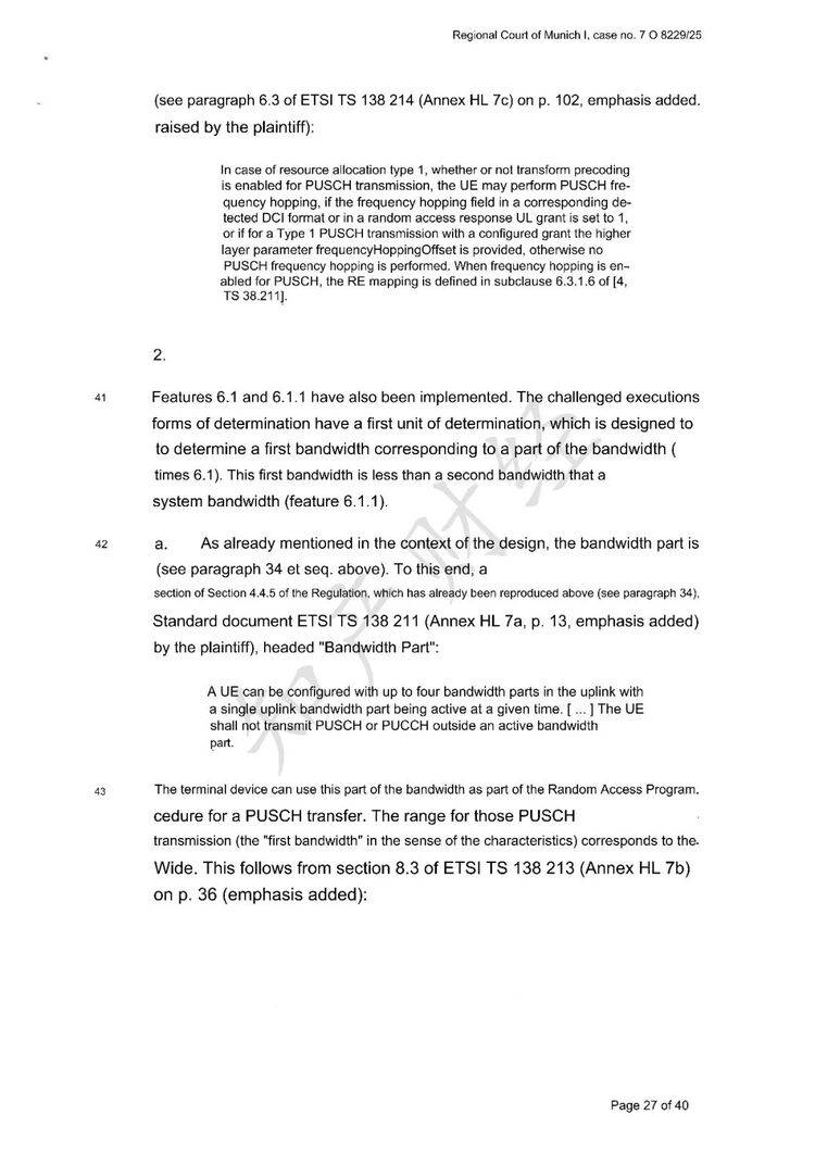
- f- j0 F7 C0 ?5 c; w: U) T Jl477NLsQNDmD070.jpg 2 B. c1 W& ~) V6 ]- X6 m1 w
xdIStcM5s85ySDVY.jpg 1 X" g$ M  m+ s& q8 }9 C
nnNA61rXATKvkrk1.jpg % P. J# ~" D2 e! x
U48Sp7ZF8I7Fnf71.jpg $ B' F( t4 R9 v' m  w) i
gwaPFwa4PEkXaxex.jpg . M) Q" d; O9 |$ |
Od3Fd4n97t74rH9F.jpg $ R- e3 v; m4 ?$ ~6 @/ [( X3 \
VgZrz39HE34ayhnE.jpg
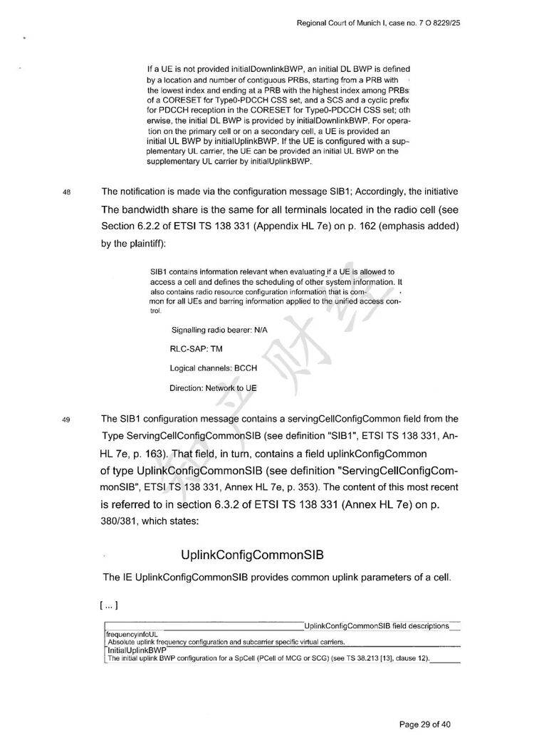
1 f+ Q& P$ L& D9 p6 H. y" R N72NKOzSz7Zu8omY.jpg : \& x: C: R9 I! K  z# T+ R
y5wDKWDtS86AwdxH.jpg 0 C2 B! r  P8 A1 w/ i) X" h
mJXxug5j5Okucg8g.jpg
% C) E, Z9 A% E2 @/ n; |7 Q; o uOwWKH0Crc9rrvtd.jpg 2 [  y  s9 ]5 P2 E" v/ h
oOHvMB1TwVwbIBYW.jpg
7 ]* x1 r: }1 \1 Q" Z( W drAaq1zaw37aZPRe.jpg 7 k7 }: u) I1 c1 B
icdYLCZgdLMmLDnc.jpg ) I0 m' k' `  W! ]9 _
e7M6XMI2Mxg7iiLI.jpg ) \. S# u# h; ^/ {6 B- T
pUjuJd10zTU182uu.jpg $ c9 [! q, w2 V7 l5 [
onefEv2u4EO1otfv.jpg
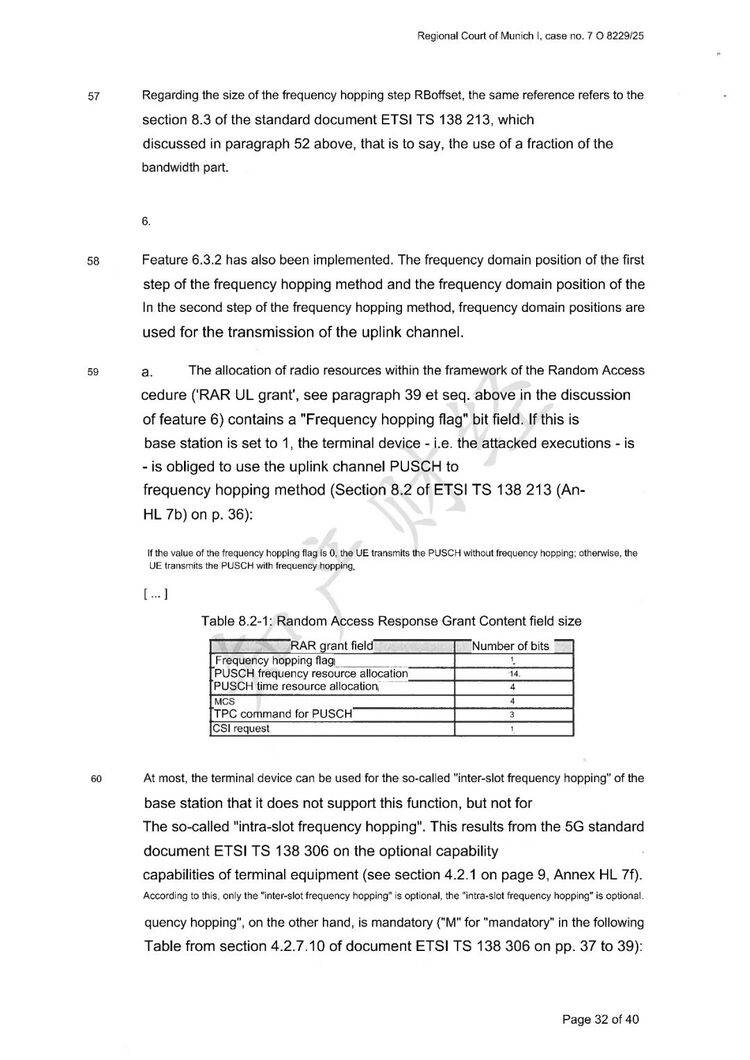
5 j& T! s6 S% k1 ]& Q CxGQYu3eym00z2xV.jpg
/ L& u7 N5 ~/ }9 y7 Q SN27mSMdpJJm6MqJ.jpg
5 M$ f( k7 v9 ^) E# Q! [/ ` UKJk6UZ8mv101v6g.jpg / t3 S, V/ G6 p( \
wzPp3H1p66vmhS99.jpg , T9 q  |9 m) l: P
DxOOZjWV5wOm1oP1.jpg
) b& _8 U1 Y8 R( G lox8Oc3QX6x8ID6c.jpg * e( V8 G$ b+ P" O& N4 s' N
vrrMRoX9xuZqrZry.jpg
- |& _% S. D: \2 i, ]4 L akIwgN2WhS9H9IOg.jpg 3 ~* S  c; v# I" \1 r3 f, T' t
qvrXVlD7lLvkpTxI.jpg
+ G! q# v, i( D3 g, J1 m' ? d6DEe4pKY9u6FRjU.jpg
2 R6 ?( ~$ i+ D+ `, e9 x% z v2jR2jIkfrrkrgu3.jpg 4 Y( i- o! g5 z4 V
G71c27ttjttncIOF.jpg
, S. f$ r3 C0 q( ?' K4 d$ J2 B kEm7FnUs78s82D2e.jpg ( I$ l& n2 Z, F! A
Zhk4bxz7zZHzBKb7.jpg
$ {6 O; z! p5 y( d# N3 y2 t! X foIjVRfyPF9f609G.jpg
: k) W) C2 _; @3 Z CyAFAxABqX5199zy.jpg
0 V) ~  A1 B2 x0 K/ O1 ^" ? vTE9iMElmMMlsL97.jpg
8 T/ H& {2 x/ F1 p9 A; Y Oq2qLke1F3244BVe.jpg 8 Z/ X! M$ ]% t6 H( s
来源:知产财经. h, _0 q0 C: t! w5 N( G: S
获取更多知识产权相关资讯,请访问知产财经官网:http://www.ipeconomy.cn
集群智慧云科服专利申请服务
您需要登录后才可以回帖 登录 | 立即注册

本版积分规则


快速回复 返回顶部 返回列表